728x90
반응형

이 문제는 크로아티에서 고등학생 대상으로 나온 문제다.
상당히 애를 먹었던 문제다.(아직 멀었나 보다)
코드 먼저 살펴보자
a,b = map(int, input().split())
def calc(number) :
if number == 0 :
return 0
elif number == 1 :
return 1
elif number % 2 == 0 :
return number // 2 + 2 * calc(number // 2)
elif number % 2 == 1 :
return number // 2 + 2 * calc(number // 2) + 1
print(calc(b) - calc(a-1))
애를 먹었던 거에 비해서는 굉장히 간단하다.
규칙만 잘 찾으면 절대 어렵지 않은 문제다.
그 규칙에 대해서 아래 필기로 같이 살펴보자

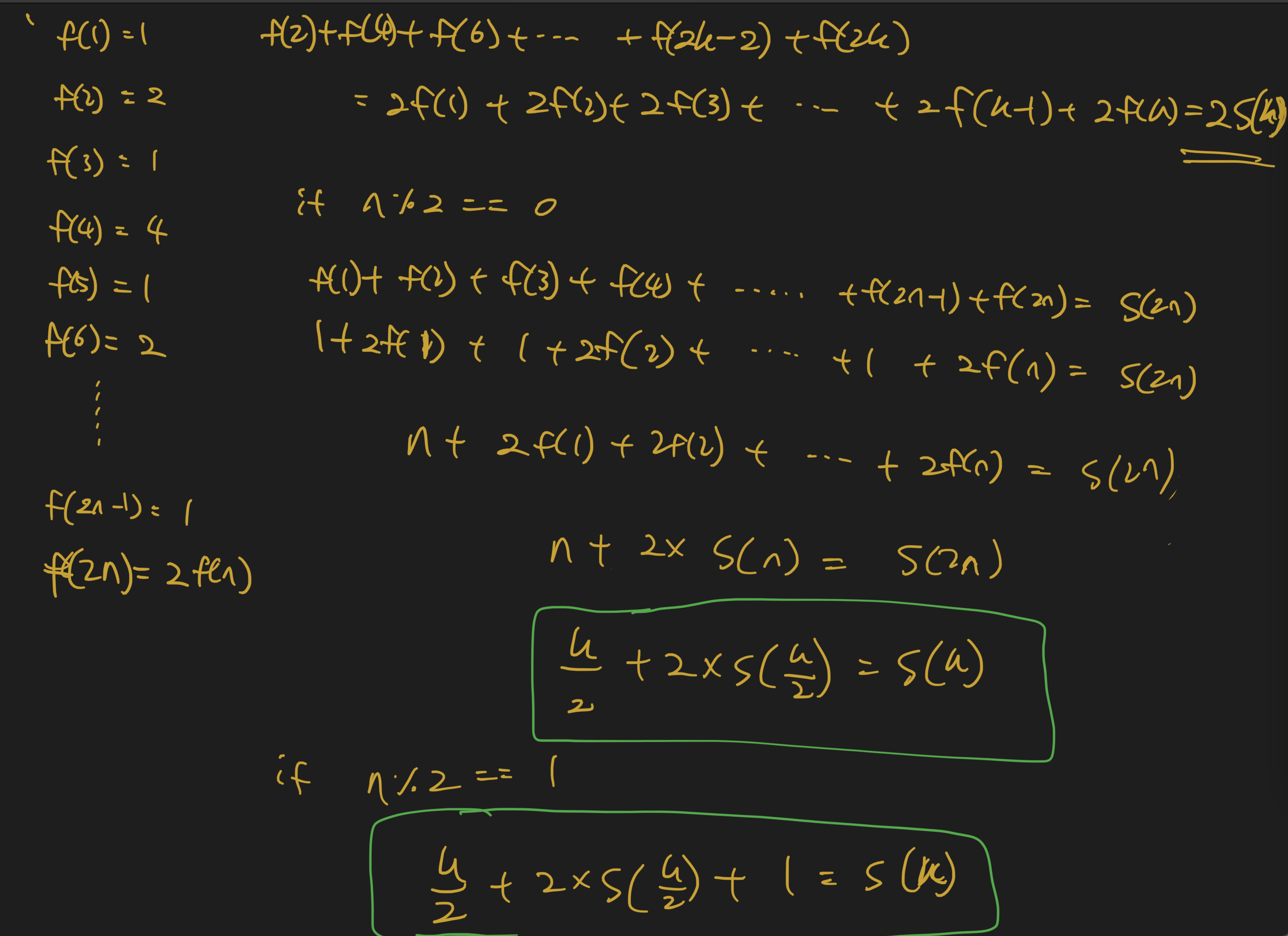
- f(홀수)는 무조건 1이다
- f(짝수)는 f(짝수/2)의 2배다 (f(2) == 2, f(4) == 4, f(6) == 2 * f(3))
- 입력받은 a에서 b까지의 각 숫자들을 나눌수 있는 숫자들중 2의 거듭제곱에 해당하는 가장 큰수 들의 합이다.
(숫자의 범위들을 살펴보자 0 <= a, b <= 10^15 => 순회 잘못걸리면 2초안에 못들어온다) => 범위를 탐색하는 것이 아니다. - s(n)은 f(1) + f(2) + .... + f(n-1) + f(n) 의 값이다. 3번의 정의를 s(b) - s(a-1)로 바꾸면??? => 문제에서 요구하는 것과 같다.
- n이 짝수면 s(n)의 절반은 1이다(절반은 홀수니까), n이 홀수면 s(n)의 절반 + 1 은 1이다
- 절반의 1을 뺀 나머지는 전부 짝수다 f(2n) = 2 * f(n)이므로 점화식 설명 내용 이미지의 그림 처럼 짝수들만 더한 값은
f(2) + f(4) + f(6) + ..... + f(2n-2) + f(2n) = 2f(1) + 2f(2) + 2f(3) + ..... + 2f(n-1) + 2f(n) = 2s(n) 이다 - n이 짝수 s(n) = n / 2 + s(n/2), n이 홀수 s(n) = n / 2 + s(n/2) + 1 이 되게 된다.
- 7번의 내용을 재귀함수로 만들면 끝!
출처: https://www.acmicpc.net/problem/1407
1407번: 2로 몇 번 나누어질까
자연수 N이 주어지면, 자연수를 유지하면서 N을 2로 몇 번까지 나눌 수 있는지를 생각해 볼 수 있다. 즉, N의 모든 약수 중 2의 거듭제곱 꼴이면서 가장 큰 약수를 생각하는 것이다. 예를 들어 15의
www.acmicpc.net
728x90
반응형
'알고리즘' 카테고리의 다른 글
| 팩토리얼 0의 개수[백준1676] - python (0) | 2021.11.30 |
|---|---|
| 합분해[백준 2225] - python (0) | 2021.11.30 |
| 플로이드 워셜 알고리즘 (2) | 2021.11.28 |
| 전구와 스위치[백준 2138] - python (0) | 2021.11.21 |
| 가장 긴 증가하는 부분 수열[백준 11053] (0) | 2021.11.20 |