728x90
반응형

import sys
input = sys.stdin.readline
prime = 1_000_000_007
def BOJ11401():
def factorial(n):
ans = 1
for i in range(1, n+1):
ans = (ans * i) % prime
return ans
def pow(a, b):
if b == 1:
return a
elif b % 2 == 0:
return (pow(a, b//2) ** 2) % prime
else:
return (pow(a, b//2) ** 2) * a % prime
N, K = map(int, input().split())
A = factorial(N)
B = (factorial(K) * factorial(N-K))
print((A % prime * (pow(B, prime-2)) % prime) % prime)
BOJ11401()
접근방법 :
1. 나누는 숫자가 굉장히 크고 N의 범위 상당히 크다. 파스칼 삼각형을 이용하여 nCk 에 접근할수도 있지만 N^2 * 4Byte의 공간복잡도를 가지게 되어 제한 메모리 256MB를 초과하게 된다.
메모이제이션 + 팩토리얼 계산으로 값에 접근할수도 있지만 이렇게 되면 분모가 0이 될수도 있어 값이 틀려지게 된다.
=> nCk = n! / (n-k)!k!
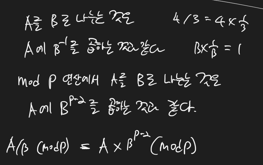
2. 페르마의 소정리를 이용하였다. 아래의 내용에서 파악할 수 있다
(a로 나눠주는것은 a의 역수를 곱해주는 것과 같다.)

장애물 이였던 것 :
1. 풀지 못했던 문제이고 다른분들의 풀이를 참고했다.
2. 페르마의 소정리를 이용하여 풀어야 한다. 차근차근 설명해보자
페르마의 소정리
a^p-1 = 1 (mod P) (a와 p는 서로소이다)
a의 p-1제곱을 p로 나눈 나머지 값은 1이다
ex) 64^70 =1 (mod 71) => 64의 70제곱을 71로 나눈 나머지 값은 1이다.

https://www.acmicpc.net/problem/11401
11401번: 이항 계수 3
자연수 \(N\)과 정수 \(K\)가 주어졌을 때 이항 계수 \(\binom{N}{K}\)를 1,000,000,007로 나눈 나머지를 구하는 프로그램을 작성하시오.
www.acmicpc.net
728x90
반응형
'알고리즘' 카테고리의 다른 글
| 곱셈 [백준 1629] - python (0) | 2022.02.10 |
|---|---|
| 행렬 제곱 [백준 10830] - python (0) | 2022.02.09 |
| 신나는 함수 실행 [백준 9184] - python (0) | 2022.02.07 |
| 피보나치 함수 [백준 1003] - python (0) | 2022.02.06 |
| 치킨 배달 [백준 15686] - python (1) | 2022.02.05 |